Axions and axion-like particles (ALPs) are closely related to the strong CP problem in the Standard Model (SM) and, additionally, serve as potential dark-matter candidates. ALPs are predicted by various ultraviolet-complete models and can couple to all SM particles. On the other hand, heavy neutral leptons (HNLs), also known as sterile neutrinos, are predicted in various seesaw-mechanism models to explain the non-zero masses of active neutrinos. The HNLs can participate in SM interactions through their mixing with active neutrinos, thus coupling to various SM particles. Besides explaining the masses of active neutrinos, HNLs could also serve as dark matter candidates or provide explanations for the matter-antimatter asymmetry in the Universe. Notably, these two new-physics particles can couple to each other, enabling ALP decays into a pair of HNLs.
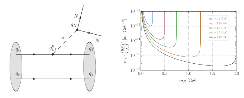
Recently, Associate Researcher Zeren Simon Wang and Associate Professor Yu Zhang from our school, in collaboration with Associate Professor Wei Liu from Nanjing University of Science and Technology, have evaluated the sensitivity of several present and future experiments to HNLs coupled to ALPs. Specifically, the authors focused on ALPs coupled to SM quarks off-diagonally, produced in meson decays and subsequently decaying into a pair of long-lived HNLs (Figure 1, left). Additionally, depending on the coupling strength between the ALP and HNLs, the ALP can either decay promptly or have a long lifetime. Figure 1 (right) shows the proper decay length of the ALP as functions of the ALP-HNL coupling strength, ALP mass, and HNL mass.

Figure 1. Left: a schematic of an ALP produced in meson decays, which subsequently decays into a pair of long-lived HNLs. Right: the proper decay length of the ALP as functions of the ALP-HNL coupling strength, ALP mass, and HNL mass.
Concretely speaking, the authors considered two categories of experiments: LHC far-detector experiments and the Belle II experiment. The former includes ANUBIS, CODEX-b, FACET, FASER(2), MoEDAL-MAPP1(2), MATHUSLA, and SHiP. Among them, MAPP1 and SHiP have been approved for construction, and the FASER experiment is already operational. For these LHC far-detector experiments, it is assumed that there are no background events, meaning that observing three signal events corresponds to exclusion limits at 95% confidence level (CL). For the Belle II experiment, the authors conducted a detailed analysis, discussed extensively possible background events, and selected certain final-state signatures, in order to derive exclusion limits at 95% CL. All the relevant experiments rely on reconstructing the displaced vertices of the long-lived HNLs.
Figure 2 presents some of the numerical results obtained in this study. In the upper-left and upper-right panels, the authors fixed the ALP masses at 1.5 GeV and 4.0 GeV, respectively, considering promptly decaying ALPs produced from D-meson and B-meson decays. The sensitivity of the LHC far-detector experiments is displayed in the (HNL mass, square of the neutrino mixing strength) plane. In the lower-left panel, the authors considered an ALP mass of 1.5 GeV produced from D-meson decays, with, however, a long-lived ALP. These results suggest that, within the theoretical scenarios considered, for HNL masses ranging from 100 MeV to 2 GeV, these experiments can probe the square of the neutrino mixing strength up to 10 orders of magnitude beyond present bounds. The results for the Belle II experiment are shown in the lower-right panel, indicating that with an integrated luminosity of 50 ab⁻¹ and ALP masses exceeding 4 GeV, Belle II can exclude values of the neutrino mixing strength squared one to two orders of magnitude beyond current limits, for HNL mass slightly above 2 GeV. These results strongly support the operation of these experimental searches which in the future can potentially tighten experimental constraints on the ALP-HNL models significantly.

Figure 2. Several sensitivity exclusion plots: the upper and lower-left panels are sensitivity results for the LHC far-detector experiments, while the lower right panel is for Belle II. Upper Left: ALPs produced from D-meson decays, promptly decaying into long-lived HNLs. Upper Right: ALPs produced from B-meson decays, promptly decaying into long-lived HNLs. Lower Left: ALPs produced from D-meson decays, with the long-lived ALPs decaying into long-lived HNLs. Lower Right: ALPs produced from B-meson decays at Belle II, promptly decaying into long-lived HNLs.
These findings have been published under the titles:
· "Searching for heavy neutral leptons coupled to axion-like particles at the LHC far detectors and SHiP" in the Journal of High Energy Physics
· "Long-lived sterile neutrinos from an axionlike particle at Belle II" in Physical Review D
In both works, Associate Researcher Zeren Simon Wang and Associate Professor Yu Zhang made significant contributions as the first author and corresponding author, respectively. This research was supported by the National Natural Science Foundation of China, the Fundamental Research Funds for the Central Universities of HFUT, the Talent Recruitment Fund of HFUT.
Zeren Simon Wang (Figures and text), Gao Weiqing (Reviewed)
Paper Links:
https://link.springer.com/article/10.1007/JHEP01(2025)070
https://journals.aps.org/prd/abstract/10.1103/PhysRevD.111.035010